Ποιοί δήμοι θα πάρουν 600.000 ευρώ για τα αδέσποτα
Δημοσιεύθυηκε στο ΦΕΚ Αρ. Φύλλου 5732 Τεύχος Β’ 28/12/20 η απόφαση για τον καθορισμό των Δήμων και Συνδέσμων Δήμων που χρηματοδοτούνται για τη λειτουργία κατα- φυγίων αδέσποτων ζώων συντροφιάς και για την υλοποίηση των ενεργειών διαχείρισής τους, καθώς και το ύψους χρηματοδότησης για το έτος 2020.
Άρθρο 1
Καθορισμός ύψους χρηματοδότησης
Καθορίζεται το ποσό των εξακοσίων χιλιάδων ευρώ (600.000,00€) για την πληρωμή ισόποσης δαπάνης σε βάρος της πίστωσης του προϋπολογισμού του Υπουρ- γείου Αγροτικής Ανάπτυξης και Τροφίμων Ε.Φ. 1029- 203-0000000, ΑΛΕ 2310401009 «Οικονομικές ενισχύσεις γεωργικού χαρακτήρα σε Ο.Τ.Α. α’ βαθμού», για τη χρηματοδότηση των Δήμων και των Συνδέσμων Δήμων για τη λειτουργία καταφυγίων αδέσποτων ζώων συντροφιάς και για την υλοποίηση των ενεργειών διαχείρισής τους έτους 2020.
Άρθρο 2
Ύψος ποσοστού χρηματοδότησης επιλέξιμων δαπανών – Κατανομή πίστωσης
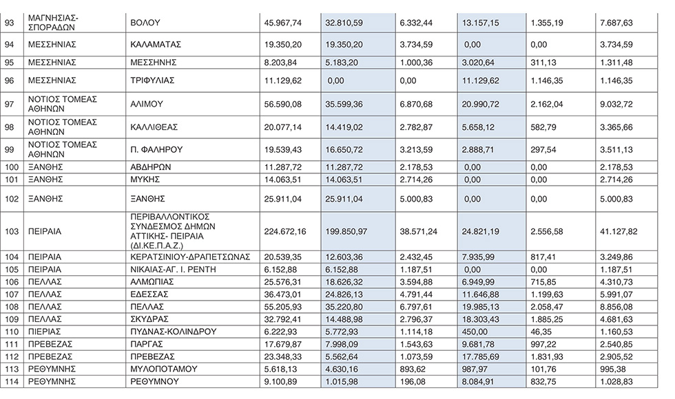
Το ύψος του ποσοστού χρηματοδότησης του συνολικού ποσού των εγκεκριμένων επιλέξιμων δαπανών ανά κατηγορία δράσεων αναλύεται ως εξής:
α) Ποσοστό 19,3% επί του συνόλου των επιλέξιμων δαπανών, για τις επιλέξιμες δαπάνες των δράσεων της βελτίωσης υφιστάμενου καταφυγίου και των ενεργειών διαχείρισης των αδέσποτων ζώων συντροφιάς, ήτοι έως 514.345,76 €.
β) Ποσοστό 10,3% επί του συνόλου των επιλέξιμων δαπανών, για τις επιλέξιμες δαπάνες της δράσης σίτισης των αδέσποτων ζώων συντροφιάς, ήτοι έως 85.605,34€.










